 |
Products |
|
|
|
| |
|
 |
Contact us |
|
ADD:Room 301, Building No.1,707Lane, Wuxing Rd , Pudong District, Shanghai ,China
TEL:86-21-50800795
FAX:86-21-50800795
E-MAIL:sales@growingchem.com
Website:www.www8699.com |
|
|
|
|
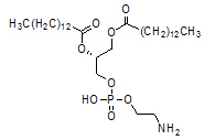
| Products Name: |
1,2-dimyristoyl-sn-glycero-3-phosphoethanolamine |
| Molecular Structure: |
|
|
| Molecular Formula: |
|
| Molecular Weight: |
|
| CAS No.: |
998-07-2 |
| Usage: |
PE |
| |
|
|
|
|
| |
|